繁體版
|
长者模式
|
无障碍浏览
国家税务总局
|
内蒙古自治区人民政府
微信
微博
抖音
本站热词:
减税降费
个税
增值税
小微企业
发票
首页
信息公开
新闻动态
政策文件
纳税服务
互动交流
首页
信息公开
新闻动态
政策文件
纳税服务
互动交流
首页
>
政策文件
>
最新文件
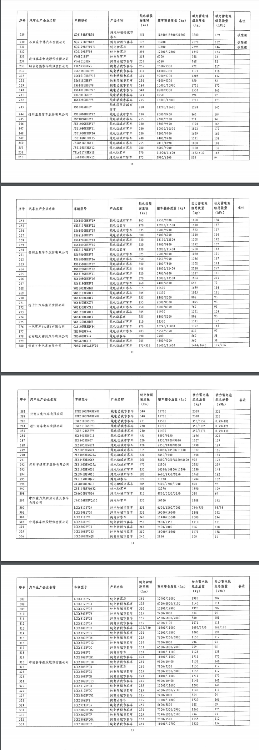
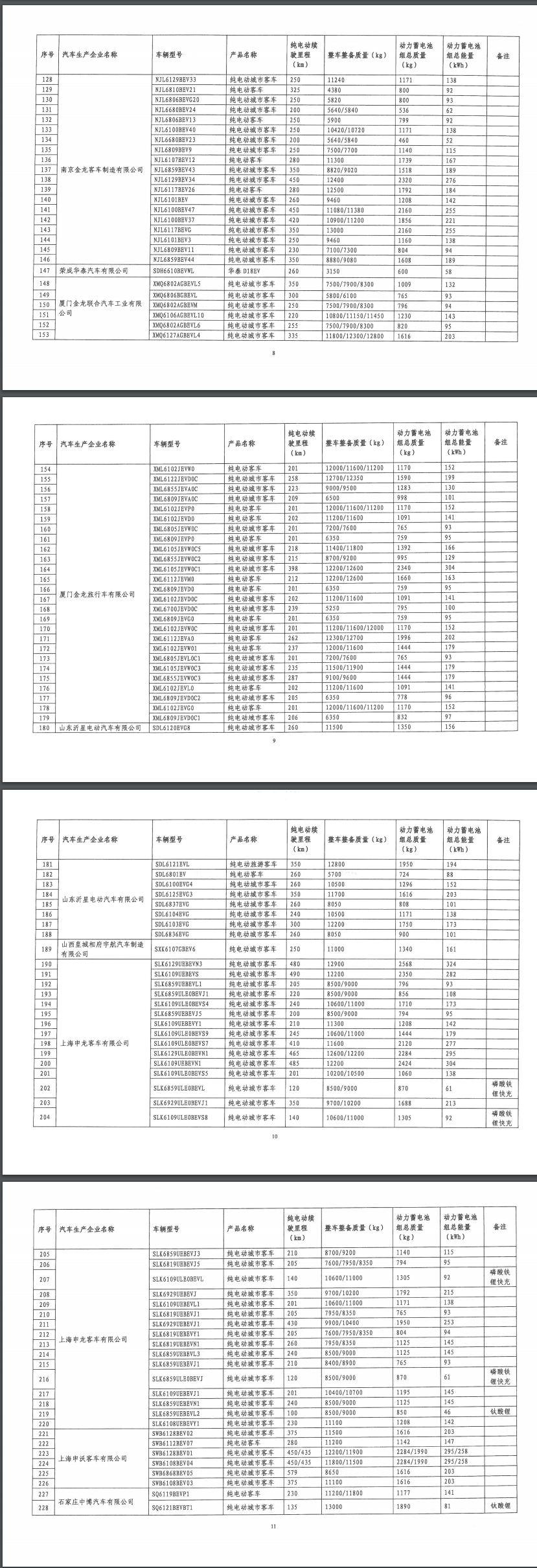
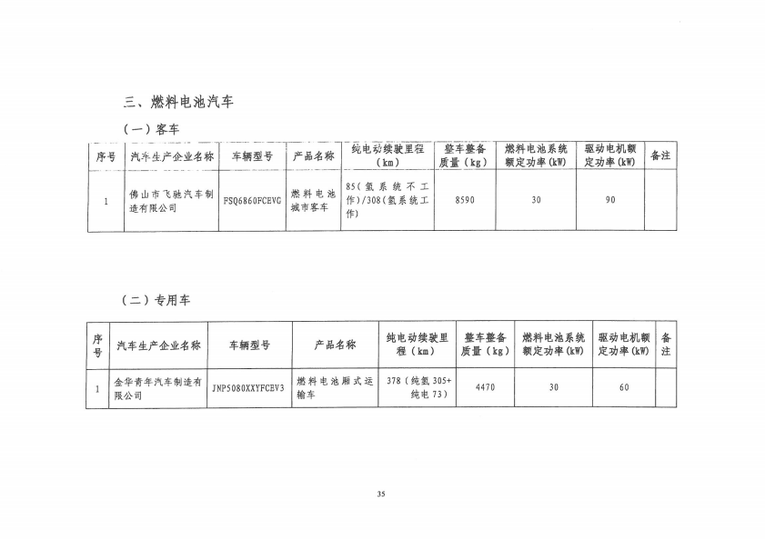
2017公告—免征车辆购置税的新能源汽车车型目录(第十一批)
2017年;第29号
发布时间:
2017-07-10
来源:
字号:
[大]
[中]
[小]
打印本页
分享
分享到
微信
微博
附件:
扫一扫在手机打开当前页
网站地图
|
网站管理
|
联系我们
主办单位:国家税务总局内蒙古自治区税务局 地址:呼和浩特市赛罕区后巧报路19号 邮编:010020
网站标识码:bm29050005
蒙ICP备11002660号-2
蒙公网安备 15010502000796号